Note for Neural Networks (2)
Gradient descent
reduce the error between the anticipated and realistic output
\(w_{new}=w_{old}-\alpha*\nabla error\)
Here $w_{new}$ denotes the new $w$ position, $w_{old}$ denotes the current or old $w$ position, $\nabla error$ is the gradient of the error at $w_{old}$ and $\alpha$ is the step size.
Example gradient descent (original function after gradient is $4x^3 - 9x^2$):
x_old = 0
x_new = 6
gamma = 0.01
precision = 0.00001
def df(x):
y = 4 * x ** 3 - 9 * x ** 2
return y
while abs(x_new - x_old) > precision:
x_old = x_new
x_new += -gamma * df(x_old)
print("The local minimum occurs at %f" % x_new)
The cost function :
The cost function for a training pair $(x^z, y^z)$ in a neural network is: \(J(w, b, x^z, y^z) = \frac{1}{2}||y^z-h^{(nl)}(x^z)||^2 = \frac{1}{2}||y^z-h_{pred}(x^z)||^2\) This is the cost function of the $z_{th}$ sample where $h^{(n_l)}$ is the output of the final layer
The total cost is: \(J_{total}(w, b, x, y) = \frac{1}{m}\sum_{z=0}^{m}\frac{1}{2}||y^z-h^{(nl)}(x^z)||^2 = \frac{1}{m}\sum_{z=0}^{m}J(W, b, x^{z}, y^{z})\) Gradient descent in neural networks \(w_{ij}^{(l)} = w_{ij}^{(l)} - \partial\frac{\partial}{\partial w_{ij}^{(l)}}J_{total}(w, b, x, y)\)
\[b_{i}^{(l)} = b_{i}^{(l)} - \partial\frac{\partial}{\partial b_{i}^{(l)}}J_{total}(w, b, x, y)\]Two dimensional Gradient Descent

Backpropagation in depth (Math Part.)

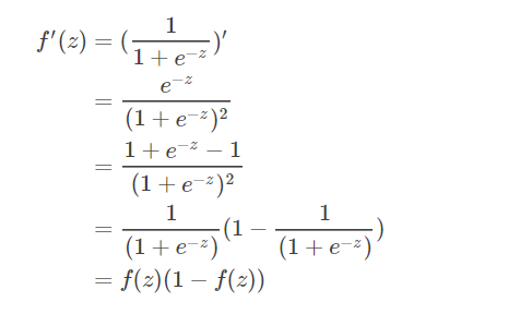
The output of the NN: \(h_{w, b}(x) = h_1^{(3)} = f(w_{11}^{(2)}h_1^{(2)}+w_{12}^{(2)}h_2^{(2)}+w_{13}^{(2)}h_3^{(2)}+b_1^{(2)})\) Simplify $h_1^{(3)} = f(z_1^{(2))})$ by defining $z_1^{(2)}$ as: \(z_1^{(2)}=w_{11}^{(2)}h_1^{(2)}+w_{12}^{(2)}h_2^{(2)}+w_{13}^{(2)}h_3^{(2)}+b_1^{(2)}\) Then apply gradient descent, we need to calculate the gradient, take the $w_{12}^{(2)}$ as an example \(\frac{\partial J}{\partial w_{12}^{(2)}} = \frac{\partial J}{\partial h_1^{(3)}}\frac{\partial h_1^{(3)}}{\partial z_{1}^{(2)}}\frac{\partial z_{1}^{(2)}}{\partial w_{12}^{(2)}}\) Start with the last term \(\frac{\partial z_{1}^{(2)}}{\partial w_{12}^{(2)}} = \frac{\partial}{\partial w_{12}^{(2)}}(w_{11}^{(2)}h_1^{(2)}+w_{12}^{(2)}h_2^{(2)}+w_{13}^{(2)}h_3^{(2)}+b_1^{(2)}) \\ = \frac{\partial}{\partial w_{12}^{(2)}}(w_{12}^{(2)}h_2^{(2)}) \\ = h_2^{(2)}\) Then the second term \(\frac{\partial h_1^{(3)}}{\partial z_{1}^{(2)}}= f'(z_{1}^{(2)}) = f(z_{1}^{(2)})(1 - f(z_{1}^{(2)}))\) The derivative of sigmoid is

The loss function \(J = \frac{1}{2}||y_1-h_1^{(3)}(z_1^{(2)})||^2\) Let $u=||y_1-h_1^{(3)}(z_1^{(2)})||$ and $J=\frac{1}{2}u^2$
Using $\frac{\partial J}{\partial h} = \frac{\partial J}{\partial u}\frac{\partial u}{\partial h}$ \(\frac{\partial J}{\partial h} = -(y_1-h_1^{(3)})\) Induce another token \(\delta_i^{n_l} = -(y_i - h_i^{(n_l)})·f'(z_i^{(n_l)})\) Then the derivative can be conclude as \(\frac{\partial}{\partial w_{ij}^{(l)}}J(w, b, x, y) = h_j^{(l)}\delta_i^{(l+1)}\)
\[\frac{\partial}{\partial b_{i}^{(l)}}J(w, b, x, y) = \delta_i^{(l+1)}\] \[w_{ij}^{(l)} = w_{ij}^{(l)} - \partial\frac{\partial}{\partial w_{ij}^{(l)}}J_{total}(w, b, x, y)\] \[b_{i}^{(l)} = b_{i}^{(l)} - \partial\frac{\partial}{\partial b_{i}^{(l)}}J_{total}(w, b, x, y)\]Vectorization of backpropagation \(\frac{\partial}{\partial W^{(l)}}J(w, b, x, y) = h^{(l)}\delta^{(l+1)}\)
\[\frac{\partial}{\partial b^{(l)}}J(w, b, x, y) = \delta^{(l+1)}\] \[\delta^{(l+1)}(h^{(l)})^{T} = (s_{l+1} \times 1) \times (1 \times s_l) = (s_{l+1} \times s_l)\]$s_l$ is the number of nodes in layer $l$ \(\delta^{(l+1)}(h^{(l)})^{T} = (s_{l+1} \times 1) \times (1 \times s_l) = (s_{l+1} \times s_l)\)
\[\delta_{j}^{(l)} = (\sum_{i=1}^{s_{(l+1)}}w_{ij}^{(l)}\delta_i^{(l+1)})f'(z_j^{(l)}) = ((W^{(l)})^{T}\delta^{(l+1)})\cdot f'(z^{(l)})\]where ∙ symbol in the above designates an element-by-element multiplication (called the Hadamard product), not a matrix multiplication.
Reference:
[1]. https://adventuresinmachinelearning.com/neural-networks-tutorial/